151116 初版 160422 更新
区分求積法

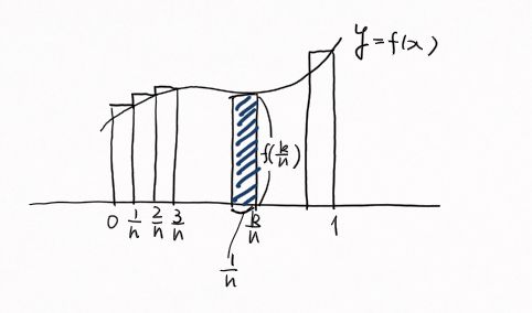
無限級数の和を求めるときに,定積分の考えを使う方法。
\(\displaystyle{S_n=\sum_{k=1}^n a_k}\)
\(a_k=f\left(\dfrac{k}{n}\right)\cdot\dfrac{1}{n}\)  (図のひとつの長方形の面積) なる 関数 \(f(x)\) が見つかると,
\(\displaystyle{\lim_{n\rightarrow\infty}S_n}\) \(\displaystyle{=\lim_{n\rightarrow\infty}\sum_{k=1}^n f\left(\dfrac{k}{n}\right)\cdot\dfrac{1}{n}}\) \(\displaystyle{=\int_0^1f(x)\ dx}\)


\(\displaystyle{S=\lim_{n\rightarrow\infty}\sum_{k=1}^n\dfrac{1}{n+k}}\) とする。
\(f(x)=\dfrac{1}{1+x}\)とおく。
\(\displaystyle{S_n=\sum_{k=1}^n\dfrac{1}{n+k}}\) \(\displaystyle{=\sum_{k=1}^nf\left(\dfrac{k}{n}\right)\cdot\dfrac{1}{n}}\)
よって,
\(S=\displaystyle{\lim_{n\rightarrow\infty}S_n}\) \(\displaystyle{=\int_0^1\dfrac{1}{1+x}\ dx}\)
ゆえに, \(S=\log 2\)