151031 初版 151031 更新
対数
数学の小部屋
>
目次
>
指数の拡張
指数関数
対数
対数関数
対数の性質
底の変換公式
常用対数
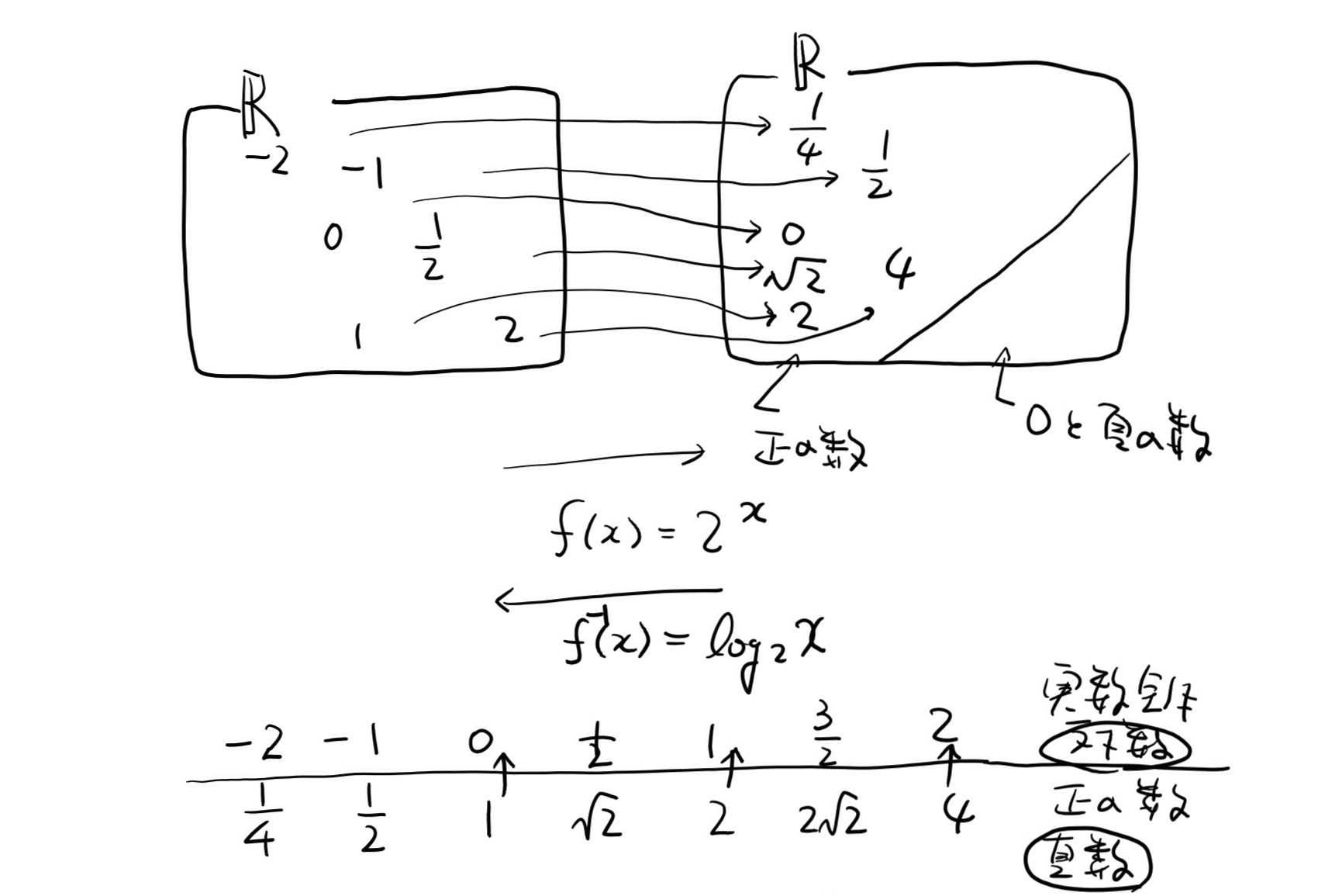
表 1
x
-2
-1
0
\(\dfrac{1}{2}\)
1
\(\dfrac{4}{2}\)
2
3
2
x
\(\dfrac{1}{4}\)
\(\dfrac{1}{2}\)
1
\(\sqrt{2}\)
2
\(2\sqrt{2}\)
4
8
x
p
a
x
M
log
a
x a を底とした対数の世界での x の値, x は a を何乗したものか
\(a^p=M\) ⇔ \(\log_aM=p\)
\(\log_aa=1\), \(\log_a1=0\) (基準), \(\log_a\dfrac{1}{a}=-1\)
2 × 10
6
J (2 メガジュール) = マグニチュード 1.0
2 × 10
9
J (2 ギガジュール) = マグニチュード 3.0
2 × 10
12
J (2 テラジュール) = マグニチュード 5.0
350 × 10
12
J (350 テラジュール) = マグニチュード 6.5
2 × 10
15
J (2 ペタジュール) = マグニチュード 7.0
2 × 10
18
J (2 エクサジュール) = マグニチュード 9.0
x
\(\dfrac{1}{100}\)
\(\dfrac{1}{10}\)
1
10
100
10
3
10
4
dB(デシベル)
-20
-10
0
10
20
30
40
対数の性質へつづく