151031 初版 151031 更新
対数の性質
数学の小部屋
>
目次
>
対数
対数関数
対数の性質
底の変換公式
表 1
x
M
N
MN
M
k
log
a
x
log
a
M
log
a
N
log
a
MN
log
a
M
k
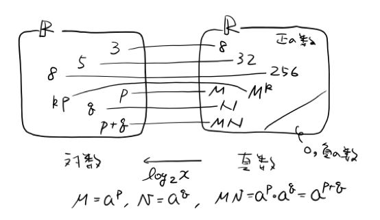
\(\log_aMN=\log_aM+\log_aN\)
\(\log_a\dfrac{M}{N}=\log_aM-\log_aN\)
\(\log_aM^k=k\log_aM\)
\(p=\log_aM\), \(q=\log_aN\) とする。
すなわち, \(a^p=M\), \(a^q=N\)
このとき,\(MN=a^p\cdot a^q=a^{p+q}\)
すなわち,\(\log_aMN=p+q\)
よって, \(\log_aMN=\log_aM+\log_aN\)
底の変換公式へつづく